描述
【题目描述】
勇者们马上要攻击作为魔王的你,但你的地下迷宫还没有挖好,且只有一个迷宫的入口。
迷宫由n个洞穴组成,其中1号洞穴为迷宫的入口,由n-1条道路连通整个迷宫中的所有洞穴,这些道路还未挖掘。不过这些道路有长有短,对于连接洞穴$u_{i}、v_i$之间的道路,还需要r_i天才能挖通。每天可以选择一个未挖通的道路挖掘,且此道路连接着某个已挖通的洞穴,在已挖通的迷宫中移动的时间忽略不计(洞穴是天然存在的,不用花时间去挖掘)。
另外为了能够及时获得洞穴中的魔力以对付勇者,你还计划需要在第$d_i$天前(包括第$d_i$天)抵达第i个洞穴。现在是第1天,你想知道你的计划能否实现。
输入
从文件laby.in中读入数据。
每个测试点包含多组测试数据。
第一行包含1个数字t,表示测试数据的组数。
每组测试数据的第一行包含一个整数n,表示洞穴的数量。
接下来一行包含n个数字,第i个数字表示,第i个洞穴最晚需要在第$d_i$天抵达。保证第一个数字为0。
接下来n-1行,每行包含3个数字$u_i 、v_i 、r_i$。表示第i条道路连接$u_i 、v_i$两个洞穴,这条道路需要挖$r_i$天。
输出
【输出格式】
输出到文件laby.out中。
输出t行,每行输出 “Yes”或者“No”,表示能否及时抵达各个洞穴。
样例
- 复制
- 复制
提示
【样例1解释】
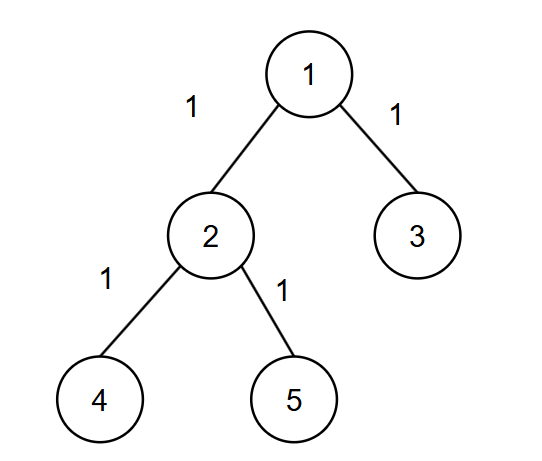
样例包含1组测试数据。迷宫情况入下图,每条道路均需要花1天的时间挖掘,第2个洞穴需要在第1天之前抵达,第3个洞穴需要在第2天之前抵达,第4个洞穴需要在第3天之前抵达,第5个洞穴需要在第4天之前抵达。

能够及时抵达的方案只有一种。
第一天挖掘洞穴1和洞穴2之间的道路。正好抵达洞穴2,洞穴1、2已挖通。
第二天挖掘洞穴1和洞穴3之间的道路。正好在第2天抵达洞穴3,洞穴1、2、3已挖通。
第三天挖掘洞穴2和洞穴4之间的道路。正好在第3天抵达洞穴4,洞穴1、2、3、4已挖通。
第四天挖掘洞穴2和洞穴3之间的道路。正好在第4天抵达洞穴5。
所有洞穴都能在计划时间内抵达。
【数据范围】
对于所有测试数据有:$1≤t≤10,1≤n≤10^5,0≤r_i≤10^9,1≤d_i≤10^9$.

特殊性质 A:$r_i=1$
特殊性质 B:所有道路的两个洞穴编号均满足,$u_i=v_i+1$
特殊性质 C:所有洞穴的所需抵达时间d_i均相同,$d_i=d_j$。
特殊性质 D:所有道路的其中一个洞穴均为洞穴1,$u_i=1$。

关注我们